Οι φυσικοί μέτρησαν τον «μαγικό αριθμό» που καθορίζει το σύμπαν με εκπληκτική ακρίβεια
παρά την «πίστη» του Arthrur Eddington, ότι η τιμή της ισούται ακριβώς με 1/137). Η τιμή αυτή φαίνεται μικρή όταν συγκρίνεται με την ισχύ των ισχυρών (πυρηνικών) δυνάμεων, αλλά πολύ μεγαλύτερη όταν συγκρίνεται με την ισχύ των ασθενών (πυρηνικών) δυνάμεων, και τεράστια αν συγκριθεί με την ισχύ των βαρυτικών δυνάμεων.
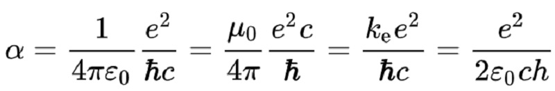
Από τις θεμελιώδεις παγκόσμιες σταθερές η ταχύτητα του φωτός c, απολαμβάνει την μεγαλύτερη δόξα. Όμως, η αριθμητική τιμή της ταχύτητας του φωτός δεν μας λέει τίποτα για την φύση. Η τιμή της διαφέρει ανάλογα με το αν μετράται σε μέτρα ανά δευτερόλεπτο ή σε χιλιόμετρα ανά ώρα. Η σταθερά λεπτής υφής, αντίθετα, δεν έχει διαστάσεις ή μονάδες. Είναι ένας καθαρός αριθμός – «ένας ακατανόητος μαγικός αριθμός», σύμφωνα με τον Richard Feynman, ενώ ο Paul Dirac θεωρούσε την προέλευση του αριθμού αυτού ως «το πιο θεμελιώδες άλυτο πρόβλημα της φυσικής». Η σταθερά της λεπτής υφής είναι παντού, δεδομένου ότι χαρακτηρίζει την ισχύ της ηλεκτρομαγνητικής δύναμης με την οποία αλληλεπιδρούν όλα τα φορτισμένα σωματίδια όπως ηλεκτρόνια και πρωτόνια. Στον καθημερινό μας κόσμο, όλα είναι είτε βαρύτητα είτε ηλεκτρομαγνητισμός. Και γι‘ αυτό η σταθερά α είναι τόσο σημαντική.
Οι φυσικοί θέλουν να μετρήσουν τη σταθερά λεπτής υφής όσο το δυνατόν ακριβέστερα. H ακριβής μέτρησή της επιτρέπει τον έλεγχο της θεωρίας που περιγράφει τις αλληλεπιδράσεις των στοιχειωδών σωματιδίων – το πολύπλοκο σύνολο εξισώσεων που είναι γνωστό ως Καθιερωμένο Πρότυπο της φυσικής των στοιχειωδών σωματιδίων.
Σε χτεσινή δημοσίευση στο περιοδικό Nature με τίτλο «Determination of the fine-structure constant with an accuracy of 81 parts per trillion» , μια ομάδα τεσσάρων φυσικών με επικεφαλής την Saïda Guellati-Khélifa στο Εργαστήριο Kastler Brossel στο Παρίσι ανέφερε την ακριβέστερη μέχρι σήμερα μέτρηση της σταθεράς λεπτής υφής. Η ομάδα μέτρησε την τιμή της σταθεράς μέχρι το 11ο δεκαδικό ψηφίο, βρίσκοντας την τιμή (στην εργασία αναφέρεται η τιμή του 1/α):
1/α=137.035999206(11)
με τα δύο τελευταία ψηφία να είναι αβέβαια. Το σφάλμα είναι ελάχιστο, μόλις 81 μέρη ανά τρισεκατομμύριο και η μέτρηση είναι περίπου τρεις φορές ακριβέστερη από την προηγούμενη καλύτερη μέτρηση του 2018 από την ομάδα Müller στο Berkeley. Η Guellati-Khélifa κατείχε το ρεκόρ ακριβέστερης μέτρησης πριν από τον Müller το 2011!
Η Guellati-Khélifa βελτιώνει το πείραμά της συνεχώς τα τελευταία 22 χρόνια(!). Προσδιορίζει την σταθερά λεπτής υφής, μελετώντας τις ανακρούσεις των ατόμων ρουβιδίου όταν απορροφούν ένα φωτόνιο. Ο Müller κάνει το ίδιο με τα άτομα καισίου. Ο Müller παραδέχθηκε τους ανταγωνιστές του, δηλώνοντας πως «μια μέτρηση τρεις φορές ακριβέστερη είναι πολύ μεγάλη υπόθεση. Ας μην ντρεπόμαστε λοιπόν να το ονομάσουμε ένα μεγάλο επίτευγμα.»
Η παλαιότερη μέτρηση του Müller 2018 είχε χαιρετιστεί ως ο μεγαλύτερος θρίαμβος του Καθιερωμένου Προτύπου. Το νέο αποτέλεσμα της Guellati-Khélifa είναι ακόμη μεγαλύτερος. Πρόκειται για την ακριβέστερη συμφωνία μεταξύ θεωρίας και πειράματος μέχρι σήμερα.
Η σταθερά λεπτής υφής συμβολίζεται με το ελληνικό γράμμα α και εκφράζει την ισχύ της ηλεκτρομαγνητικής δύναμης. Είναι αδιάστατη σταθερά και ισούται περίπου με 1/137 (παρά την «πίστη» του Arthrur Eddington, ότι η τιμή της ισούται ακριβώς με 1/137). Η τιμή αυτή φαίνεται μικρή όταν συγκρίνεται με την ισχύ των ισχυρών (πυρηνικών) δυνάμεων, αλλά πολύ μεγαλύτερη όταν συγκρίνεται με την ισχύ των ασθενών (πυρηνικών) δυνάμεων, και τεράστια αν συγκριθεί με την ισχύ των βαρυτικών δυνάμεων.
Διαβάστε Περισσότερα: https://www.quantamagazine.org/physicists-measure-the-magic-fine-structure-constant-20201202/
Photo Gallery
Video
Πηγή: https://physicsgg.me















